av研究所-av研究所官方最新私藏资源站

2016年云南省生态文明建设年度评价结果公报

来源:
访问量:27968
发布时间:2018/5/25 0:00:00
2016 年云南省生态文明建设年度评价结果公报

av研究所 云南省发展和改革委员会

云南省环境保护厅 中共云南省委组织部

根据中共云南省委办公厅、云南省人民政府办公厅印发的《云南省生态文明建设目标评价考核办法》和省发展改革委、省统计局、省环保厅、省委组织部印发的《云南省绿色发展指标体系》《云南省生态文明建设考核目标体系》要求,现将 2016 年各州(市)生态文明建设年度评价结果公布如下:

1 2016 年各州(市)生态文明建设年度评价结果排序

地 区

绿色发展指数

资源利用指数

环境治理指数

环境质量指数

生态保护指数

增长质量指数

绿色生活指数

1

1

1

14

10

1

1

西双版纳

2

4

12

8

3

4

3

3

5

9

10

4

7

2

4

2

15

4

14

10

6

5

11

16

1

1

8

12

6

16

11

2

2

5

10

7

6

10

12

12

2

8

8

13

5

6

9

11

4

9

9

2

3

16

3

14

10

10

7

5

6

13

15

11

3

8

11

11

16

16

12

7

13

13

7

14

5

13

8

3

16

13

6

9

14

15

6

9

8

15

13

15

12

4

15

5

12

7

16

14

14

7

15

9

11

注:本表中各州(市)按照绿色发展指数值从大到小排序。若存在并列情况,则下一个地区排序向后递延。

2 2016 年各州(市)生态文明建设年度评价结果

绿色发展指数

资源利用指数

环境治理指数

环境质量指数

生态保护指数

增长质量指数

绿色生活指数

83.63

83.81

93.61

80.71

73.48

93.47

79.91

76.27

72.80

76.56

92.79

66.83

72.57

73.10

77.89

78.76

77.54

83.47

76.62

68.66

75.81

79.04

73.15

82.47

93.56

74.88

72.14

75.87

78.35

81.57

78.62

88.64

73.42

64.24

69.16

76.78

72.05

79.70

89.71

75.33

67.32

71.89

78.77

74.56

79.47

94.58

77.00

69.47

70.56

80.22

82.62

74.67

94.74

72.11

72.49

74.63

79.06

79.77

78.23

86.95

73.18

77.52

74.11

76.81

77.30

85.09

75.25

72.93

73.91

73.70

78.96

75.80

85.22

95.02

65.99

75.81

70.84

西双版纳

82.04

81.09

77.60

91.28

84.18

74.25

77.85

76.59

73.71

82.52

79.26

77.40

70.66

74.26

81.06

79.98

78.55

88.88

82.25

73.58

78.22

79.73

73.76

67.14

96.06

91.43

73.34

72.89

79.48

70.56

77.69

95.49

84.90

74.15

73.45

附注:

一、生态文明建设年度评价按照《云南省绿色发展指标体系》实施,绿色发展指数采用综合指数法进行测算。绿色发展指数包括资源利用、环境治理、环境质量、生态保护、增长质量、绿色生活 6 个方面,共 52 项评价指标。

1 、资源利用指数主要反映一个地区能源、水资源、建设用地的总量与强度双控要求和资源利用效率;

2 、环境治理指数重点反映一个地区主要污染物、危险废物、生活垃圾和污水的治理以及污染治理投资等情况;

3 、环境质量指数主要反映一个地区大气、水、土壤的环境质量状况;

4 、生态保护指数用来反映一个地区森林、草原、湿地、自然保护区、水土流失、土地沙化和矿山恢复等生态系统的保护与治理;

5 、增长质量指数主要反映一个地区宏观经济的增速、效率、效益、结构和动力;

6 、绿色生活指数主要反映一个地区绿色生活方式的转变以及生活环境的改善。

二、绿色发展指数的计算方法。

1 计算个体指数。计算公式为:

其中 Y i 为第 i 个指标的个体指数, X i 为该指标在报告期的绿色发展统计指标值 ,X i,max 为该指标在报告期 16 个州(市)绿色发展统计指标值中的最大值 ,X i,min 为该指标在报告期 16 个州(市)绿色发展统计指标值中的最小值。

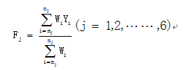
2 、对个体指数进行加权,计算 6 个分类指数。计算公式为:

其中 F j 为第 j 个分类指数, Y i 为指标 X i 的个体指数, W i 为第 i 个指标 X i 的权数 ,m j 为第 j 个分类中第一个评价指标在整个评价体系中的序号 ,n j 为第 j 个分类中最后一个评价指标在整个评价指标体系中的序号。

3 、对 6 个分类指数进行加权,得出绿色发展指数。计算公式为:

其中 Z 为绿色发展指数 , W i X i i 个指标 X i 的权数。

三、受污染耕地安全利用率、绿色产品市场占有率(高效节能产品市场占有率)和城镇绿色建筑面积占新建建筑比重等 3 个指标, 2016 年暂无数据,为了体现公平性,其权数不变,指标的个体指数值赋为最低值 60 ,参与指数计算。

对有些州(市)没有的地域性指标,相关指标不参与绿色发展指数计算,其权数分摊至其他指标,体现差异化。

四、本公报由省统计局会同有关部门负责解释。

地址:昆明市穿金路193号至195号

电话:0871-65108420

主办单位:av研究所-av研究所官方最新私藏资源站

网站地图

政府网站标识码:5300000026

滇ICP备18010677号-2

滇公网安备53010302000855号